Show that the right triangle of maximum area that can be inscribed in a circle is an isosceles triangle.

Question:

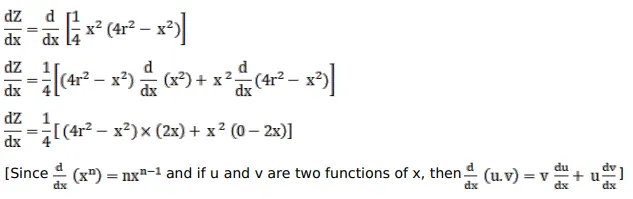
Show that the right triangle of maximum area that can be inscribed in a circle is an isosceles triangle.

Solution:

Given,

 

Leave a comment