Question:
Simplify:
(i) $\left(16^{-1 / 5}\right)^{5 / 2}$
(ii) $\sqrt[5]{(32)^{-3}}$
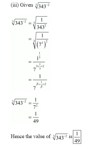
(iii) $\sqrt[3]{(343)^{-2}}$
(iv) $(0.001)^{1 / 3}$
(v) $\frac{(25)^{3 / 2} \times(243)^{3 / 5}}{(16)^{5 / 4} \times(8)^{4 / 3}}$
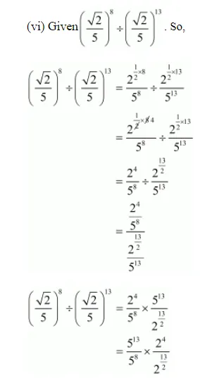
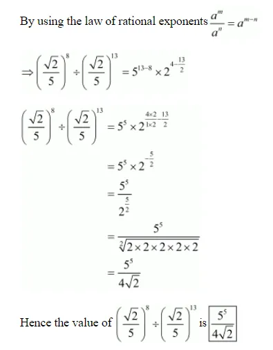
(vi) $\left(\frac{\sqrt{2}}{5}\right)^{8} \div\left(\frac{\sqrt{2}}{5}\right)^{13}$
(vii) $\left(\frac{5^{-1} \times 7^{2}}{5^{2} \times 7^{-4}}\right)^{7 / 2} \times\left(\frac{5^{-2} \times 7^{3}}{5^{3} \times 7^{-5}}\right)^{-5 / 2}$
Solution:


(ii) $\sqrt[5]{(32)^{-3}}$
$=\sqrt[5]{\left(\frac{1}{32}\right)^{3}}$
$=\left(\frac{1}{32}\right)^{\frac{3}{5}}$
$=\left(\frac{1}{(2)^{5}}\right)^{\frac{3}{5}}$
$=\left(\frac{1}{2}\right)^{5 \times \frac{3}{5}}$
$=\left(\frac{1}{2}\right)^{3}$
$=\left(\frac{1}{8}\right)$






