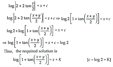
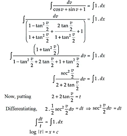
Solve: dy/dx = cos(x + y) + sin (x + y).

Question:

Solve: dy/dx = cos(y) + sin (y). [Hint: Substitute z]

Solution:

Leave a comment