Solve each of the following systems of equations by the method of cross-multiplication :
Question:
Solve each of the following systems of equations by the method of cross-multiplication :
$a x+b y=a-b$
$b x-a y=a+b$
Solution:
GIVEN:
$a x+b y=a-b$
$b x-a y=a+b$
To find: The solution of the systems of equation by the method of cross-multiplication:
Here we have the pair of simultaneous equation
$a x+b y-(a-b)=0$
$b x-a y-(a+b)=0$
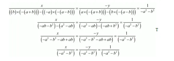
By cross multiplication method we get

Therefore $x=1$ and $y=-1$
Hence we get the value of $x=1$ and $y=-1$