Question:
Solve each of the following systems of equations by the method of cross-multiplication :
$2 x-y=6$
$x-y=2$
Solution:
GIVEN:
$2 x-y=6$
$x-y=2$
To find: The solution of the systems of equation by the method of cross-multiplication:
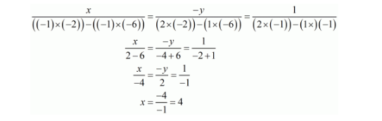
Here we have the pair of simultaneous equation
$2 x-y-6=0$
$x-y-2=0$
By cross multiplication method we get

$y=\frac{-2}{-1}=2$
Hence we get the value of $x=4$ and $\mathrm{y}=2$