Solve each of the following systems of equations using matrix method.

Question:

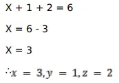
Solve each of the following systems of equations using matrix method.

$x+y+z=6$

$x+2 z=7$

$3 x+y+z=12$

Solution:

Leave a comment