Solve each of the following systems of equations using matrix method.
Question:
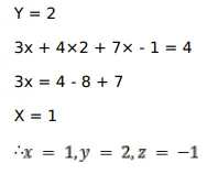
Solve each of the following systems of equations using matrix method.
$3 x+4 y+7 z=4$
$2 x-y+3 z=-3$
$x+2 y-3 z=8$
Solution:


