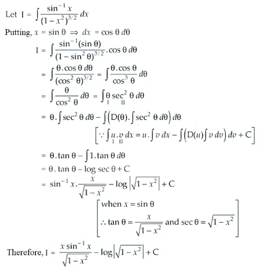
$\int \frac{\sin ^{-1} x}{\left(1-x^{2}\right)^{\frac{3}{2}}} d x$
Share via...
Or copy link
Leave a comment
All Study Material