Solve the differential equation

Question:

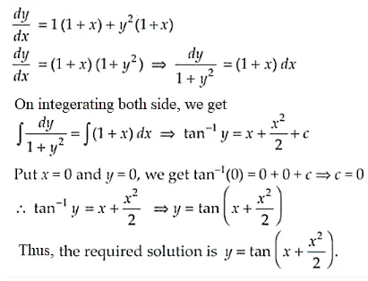
Solve the differential equation dy/dx = 1 + y2 + xy2, when = 0, = 0.

Solution:

Given equation, dy/dx = 1 + y2 + xy2

Leave a comment