Solve the equation

Question:

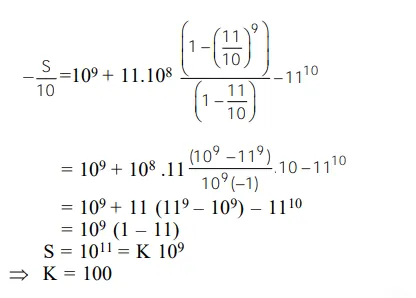
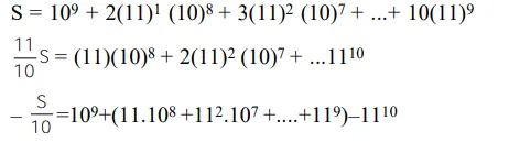
If $(10)^{9}+2(11)^{1}(10)^{8}+3(11)^{2}(10)^{7}+\ldots \ldots+10(11)^{9}=\mathrm{k}(10)^{9}$, then $\mathrm{k}$ is equal to :

  1. $\frac{121}{10}$

  2. $\frac{441}{100}$

  3. 100

  4. 110


Correct Option: , 3

Solution:


Leave a comment