Question:
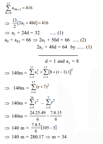
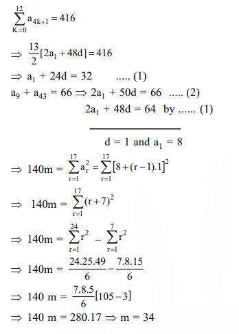
Let $\mathrm{a}_{1}, \mathrm{a}_{2}, \mathrm{a}_{3}, \ldots . . \mathrm{a}_{49}$ be in A.P. such that $\sum_{\mathrm{k}=0} \mathrm{a}_{4 \mathrm{k}+1}=416$ and $\mathrm{a}_{9}+\mathrm{a}_{43}=66$. If $\mathrm{a}_{1}^{2}+\mathrm{a}_{2}^{2}+\ldots \ldots+\mathrm{a}_{17}^{2}$ $=140 \mathrm{~m}$, then $\mathrm{m}$ is equal to-
Correct Option: , 2
Solution:
