Solve the equation

Question:

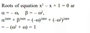
If $\alpha$ and $\beta$ are the roots of the equation $x^{2}-x+1=0$, then $\alpha^{2009}+\beta^{2009}=$

  1. –2

  2. –1

  3. 1

  4. 2


Correct Option: , 3

Solution:

Leave a comment