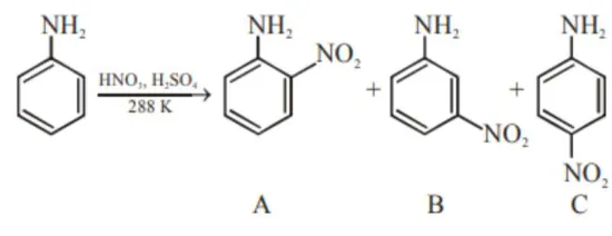
Solve the following

Question:

  1. $\mathrm{C}>\mathrm{A}>\mathrm{B}$

  2. $\mathrm{B}>\mathrm{C}>\mathrm{A}$

  3.  $A>C>B$

  4.  $\mathrm{C}>\mathrm{B}>\mathrm{A}$


Correct Option: , 4

Solution:

Leave a comment