Solve the following

Question:

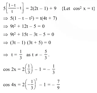
If $5\left(\tan ^{2} x-\cos ^{2} x\right)=2 \cos 2 x+9$, then the value of $\cos 4 x$ is :-

  1. $-\frac{7}{9}$

  2. $-\frac{3}{5}$

  3. $\frac{1}{3}$

  4. $\frac{2}{9}$


Correct Option: 1

Solution:

Leave a comment