Solve the following

Question:

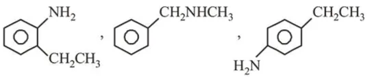
Three isomers $\mathrm{A}, \mathrm{B}$ and $\mathrm{C}$ (mol. formula $\mathrm{C}_{8} \mathrm{H}_{11} \mathrm{~N}$ ) give the following results :


Correct Option: , 2

Solution:

Leave a comment