Solve the following

Question:

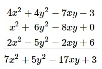
Add:
4x2 − 7xy + 4y2 − 3, 5 + 6y2 − 8xy + x2 and 6 − 2xy + 2x2 − 5y2

Solution:

On arranging the terms of the given expressions in the descending powers of $x$ and adding column-wise:

Leave a comment