Solve the following

Question:

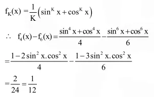
Let $f_{K}(x)=\frac{1}{k}\left(\sin ^{k} x+\cos ^{k} x\right)$ where $x \in R$ and $k \geq 1 .$ Then $f_{4}(x)-f_{6}(x)$ equals :

  1. $\frac{1}{6}$

  2. $\frac{1}{3}$

  3. $\frac{1}{4}$

  4. $\frac{1}{12}$


Correct Option: , 4

Solution:

Leave a comment