Solve the following

Question:

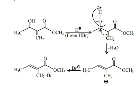
Consider the above reaction, the major product "P" formed is :-


Correct Option: , 2

Solution:

Leave a comment