Solve the following

Question:

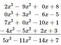
Add:
2x3 − 9x2 + 8, 3x2 − 6x − 5, 7x3 − 10x + 1 and 3 + 2x − 5x2 − 4x3

Solution:

On arranging the terms of the given expressions in the descending powers of $x$ and adding column-wise:

Leave a comment