Solve the following equations:

Question:

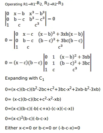
Solve the following equations:

$\left|\begin{array}{lll}1 & x & x^{3} \\ 1 & b & b^{3} \\ 1 & c & x^{3}\end{array}\right|=0$

Solution:

Leave a comment