Solve the Following Questions
Question:
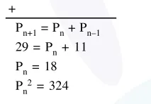
Let $\alpha$ and $\beta$ be two real numbers such that $\alpha+\beta=1$ and $\alpha \beta=-1$. Let $\mathrm{p}_{\mathrm{n}}=(\alpha)^{\mathrm{n}}+(\beta)^{\mathrm{n}}$, $p_{n-1}=11$ and $p_{n+1}=29$ for some integer $\mathrm{n} \geq 1$. Then, the value of $\mathrm{p}_{\mathrm{n}}^{2}$ is
Solution:
$x^{2}-x-1=0 \quad$ roots $=\alpha, \beta$
$\alpha^{2}-\alpha-1=0 \Rightarrow \alpha^{n+1}=\alpha^{n}+\alpha^{n-1}$
$\beta^{2}-\beta-1=0 \Rightarrow \beta^{n+1}=\beta^{n}+\beta^{n-1}$
