Question:
Solve the following systems of equations:
$\frac{x}{2}+y=0.8$
$\frac{7}{x+\frac{y}{2}}=10$
Solution:
The given equations are:
$\frac{x}{2}+y=0.8 \ldots$$\ldots(i)$
$\frac{7}{x+\frac{y}{2}}=10$
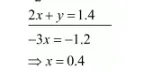
$\Rightarrow 2 x+y=1.4 \ldots(i i)$
Subtract (ii) from (i) we get
$\frac{x}{2}+y=0.8$

Put the value of $x$ in equation $(i i)$ we get
$2 \times 0.4+y=1.4$
$\Rightarrow y=0.6$
Hence the value of $x=0.4$ and $y=0.6$.