Question:
Solve the following systems of equations:
$\frac{x+y}{x y}=2$
$\frac{x-y}{x y}=6$
Solution:
The given equations are:
$\frac{x+y}{x y}=2$
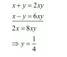
$x+y=2 x y$ ..( $(i)$
$\frac{x-y}{x y}=6$
$x-y=6 x y$$\ldots($ ii $)$
Adding both equations, we get

Put the value of $y$ in equation $(i)$, we get
$x+\frac{1}{4}=2 x \times \frac{1}{4}$
$\Rightarrow \frac{-x}{2}=\frac{1}{4}$
$\Rightarrow x=-\frac{1}{2}$
Hence the value of $x=-\frac{1}{2}$ and $y=\frac{1}{4}$