Solve this
Question:
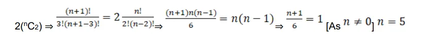
If ${ }^{n+1} C_{3}=2\left({ }^{n} C_{2}\right)$, find the value of $n .$
Solution:
Given: ${ }^{n+1} C_{3}=2\left({ }^{n} C_{2}\right)$ Need to find: Value of $n \Rightarrow{ }^{n+1} C_{3}=$
