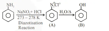
In the above chemical reaction, intermediate "X" and reagent/condition "A" are :
Correct Option: , 3
Share via...
Or copy link
Leave a comment
All Study Material