Solve this

Question:

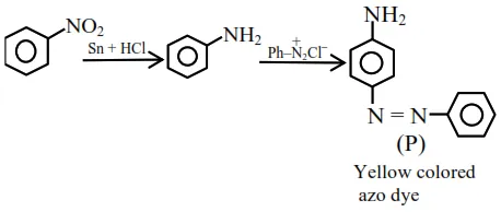
Consider the above reaction, the Product " $P^{\prime \prime}$ is :


Correct Option: , 2

Solution:

Leave a comment