Solve this
Question:
Mark $(\sqrt{)}$ against the correct answer in each of the following:
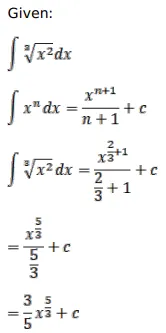
$\int \sqrt[3]{x^{2}} d x=?$
A. $\frac{5}{3} \mathrm{x}^{5 / 3}+\mathrm{C}$
B. $\frac{3}{5} \mathrm{x}^{5 / 3}+C$
C. $\frac{5}{3} \mathrm{x}^{3 / 5}+C$
D. $\frac{3}{5} \mathrm{x}^{3 / 5}+C$
Solution:
