Question: Mark $(\sqrt{)}$ against the correct answer in each of the following:
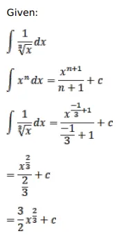
$\int \frac{1}{\sqrt[3]{x}} d x=?$
A. $\frac{3}{2} \mathrm{x}^{2 / 3}+C$
B. $\frac{3}{2 x^{2 / 3}}+C$
C. $\frac{2}{3 x^{2 / 3}}+C$
D. $\frac{2}{3} \mathrm{x}^{3 / 2}+\mathrm{C}$
Solution:
