Solve this following
Question:
Mark $(\sqrt{ })$ against the correct answer in each of the following:
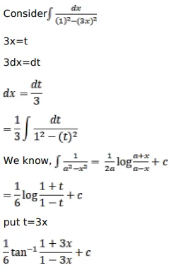
$\int \frac{d x}{\left(1-9 x^{2}\right)}=?$
A. $\frac{1}{3} \log \left|\frac{1+3 x}{1-3 x}\right|+C$
B. $\frac{1}{3} \log \left|\frac{1-3 x}{1+3 x}\right|+C$
C. $\frac{1}{6} \log \left|\frac{1+3 x}{1-3 x}\right|+C$
D. $\frac{1}{6} \log \left|\frac{1-3 x}{1+3 x}\right|+C$
Solution:
