Solve this following

Question:

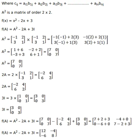
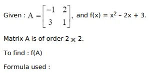
If $A=\left[\begin{array}{cc}-1 & 2 \\ 3 & 1\end{array}\right]$, find $f(A)$, where $f(x)=x^{2}-2 x+3$

Solution:

$f(A)=A^{2}-2 A+31=\left[\begin{array}{cc}12 & -4 \\ -6 & 8\end{array}\right]$

 

Leave a comment