Question: Evaluate:
i. $\int\left(6 x^{5}-\frac{2}{x^{4}}-7 x+\frac{3}{x}-5+4 e^{x}+7^{x}\right) d x$
ii. $\int\left(8-x+2 x^{3}-\frac{6}{x^{3}}+2 x^{-5}+5 x^{-1}\right) d x$
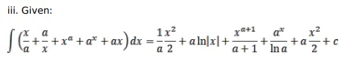
iii. $\int\left(\frac{x}{a}+\frac{a}{x}+x^{a}+a^{x}+a x\right) d x$
Solution:

