Solve this following

Question:

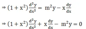
If $y=\left\{x+\sqrt{x^{2}+1}\right\}^{m}$, then show that $\left(x^{2}+1\right) \frac{d^{2} y}{d x^{2}}+x \frac{d y}{d x}-m^{2} y=0$

Solution:

Leave a comment