Solve this following

Question:

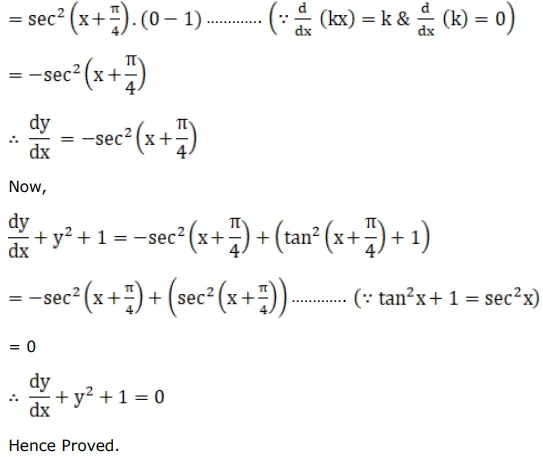
If $y=\frac{(\cos x-\sin x)}{(\cos x+\sin x)}$, prove that $\frac{d y}{d x}+y^{2}+1=0$

 

Solution:

 

Leave a comment