Solve this following

Question:

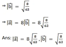
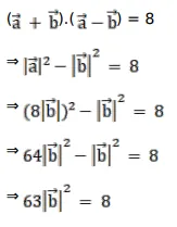
If $(\vec{a}+\vec{b}) \cdot(\vec{a}-\vec{b})=8$ and $|\vec{a}|=8|\vec{b}|$, find $|\vec{a}|$ and $|\vec{b}|$.

Solution:

Leave a comment