Solve this following

Question:

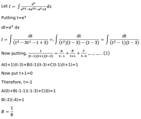
Evaluate:

$\int \frac{e^{x}}{\left(e^{3 x}-3 e^{2 x}-e^{x}+3\right)} d x$

Solution:

Leave a comment