Solve this following
Question:
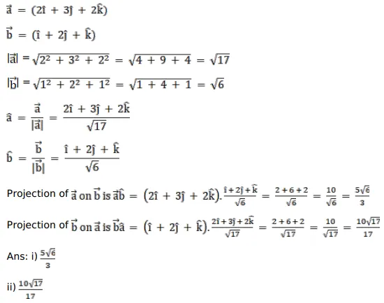
Let $\overrightarrow{\mathrm{a}}=(2 \hat{\mathrm{i}}+3 \hat{\mathrm{j}}+2 \hat{\mathrm{k}})$ and $\overrightarrow{\mathrm{b}}=(\hat{\mathrm{i}}+2 \hat{\mathrm{j}}+\hat{\mathrm{k}})$.
Find the projection of (i) $\overrightarrow{\mathrm{a}}$ on $\overrightarrow{\mathrm{b}}$ and (ii) $\overrightarrow{\mathrm{b}}$ on $\overrightarrow{\mathrm{a}}$.
Solution:
