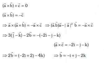
Question:
Let $\overrightarrow{\mathrm{a}}=\hat{\mathrm{j}}-\hat{\mathrm{k}}$ and $\overrightarrow{\mathrm{c}}=\hat{\mathrm{i}}-\hat{\mathrm{j}}-\hat{\mathrm{k}}$. Then the vector $\overrightarrow{\mathrm{b}}$ satisfying $\overrightarrow{\mathrm{a}} \times \overrightarrow{\mathrm{b}}+\overrightarrow{\mathrm{c}}=\overrightarrow{0}$ and $\overrightarrow{\mathrm{a}} \cdot \overrightarrow{\mathrm{b}}=3$ is :
Correct Option: 1
Solution:
