Solve this following

Question:

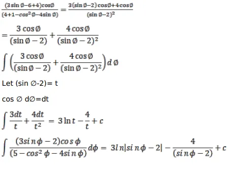
Evaluate:

$\int \frac{(3 \sin \phi-2) \cos \phi}{\left(5-\cos ^{2} \phi-4 \sin \phi\right)} d \phi$

Solution:

Leave a comment