Solve this following

Question:

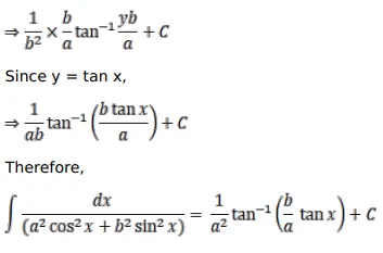
Evaluate:

$\int \frac{d x}{\left(a^{2} \cos ^{2} x+b^{2} \sin ^{2} x\right)}$

Solution:

Leave a comment