Question:
Mark $(\sqrt{ })$ against the correct answer in each of the following:
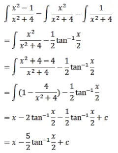
$\int \frac{\left(x^{2}-1\right)}{\left(x^{2}+4\right)} d x=?$
A. $x-5 \tan ^{-1} \frac{x}{2}+C$
B. $x-\frac{5}{2} \tan ^{-1} \frac{x}{2}+C$
C. $x-\frac{5}{2} \tan ^{-1} \frac{5 x}{2}+C$
D. none of these
Solution:
