Solve this following

Question:

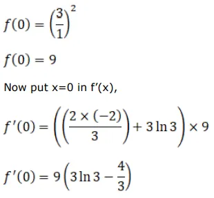
If $f(x)=\left(\frac{3+x}{1+x}\right)^{2+3 x}$, find $f^{\prime}(0)$

Solution:

Leave a comment