Solve this following
Question:
Mark $(\sqrt{)}$ against the correct answer in each of the following:
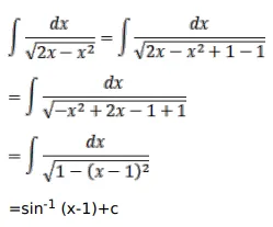
$\int \frac{\mathrm{dx}}{\sqrt{2 \mathrm{x}-\mathrm{x}^{2}}}=?$
A. $\sin ^{-1}(x+1)+C$
B. $\sin ^{-1}(x-2)+C$
C. $\sin ^{-1}(x-1)+C$
D. none of these
Solution:
