Solve this following

Question:

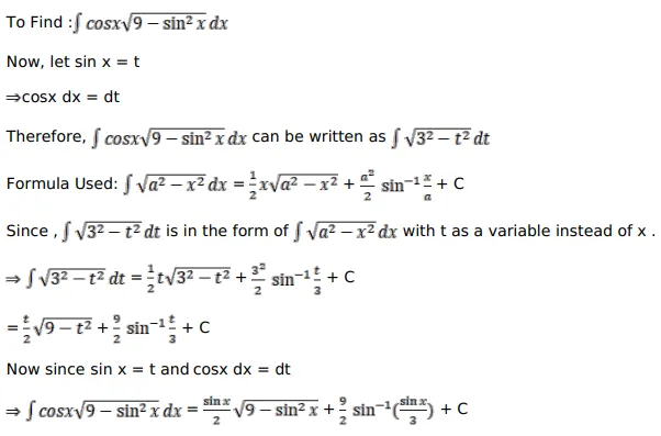
Evaluate the following integrals:

$\int \cos x \sqrt{9-\sin ^{2} x} d x$

Solution:

Leave a comment