Question:
Mark $(\sqrt{ })$ against the correct answer in each of the following:
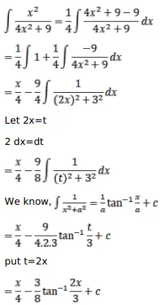
$\int \frac{x^{2}}{\left(9+4 x^{2}\right)}=?$
A. $\frac{x}{4}-\frac{1}{8} \tan ^{-1} \frac{x}{3}+C$
B. $\frac{x}{4}-\frac{3}{8} \tan ^{-1} \frac{x}{3}+C$
C. $\frac{x}{4}-\frac{3}{8} \tan ^{-1} \frac{2 x}{3}+C$
D. none of these
Solution:
