Solve this following

Question:

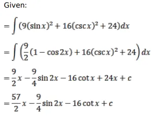
Evaluate:

$\int(3 \sin x+4 \operatorname{cosec} x)^{2} d x$

Ans. $\frac{57}{2} x-\frac{9}{4} \sin 2 x-16 \cot x+C$

Solution:

Leave a comment