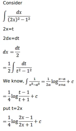
Question:
Mark $(\sqrt{)}$ against the correct answer in each of the following:
$\int \frac{\mathrm{dx}}{\left(4 \mathrm{x}^{2}-1\right)}=?$
A. $\frac{1}{2} \log \left|\frac{2 x-1}{2 x+1}\right|+C$
B. $\frac{1}{2} \log \left|\frac{2 \mathrm{x}+1}{2 \mathrm{x}-1}\right|+\mathrm{C}$
C. $\frac{1}{4} \log \left|\frac{2 x-1}{2 x+1}\right|+C$
D. none of these
Solution:
