Solve this following

Question:

Prove that

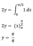
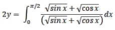
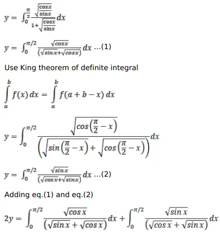
$\int_{0}^{\pi / 2} \frac{\sqrt{\cot x}}{(1+\sqrt{\cot x})} d x=\frac{\pi}{4}$

Solution:

Leave a comment