Solve this following

Question:

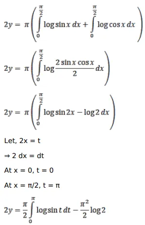
Prove that

$\int_{0}^{\pi} x \log (\sin x) d x=-\frac{\pi^{2}}{2}(\log 2)$

Solution:

 

Leave a comment