Solve this following
Question:
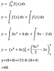
Prove that
Let $f(x)= \begin{cases}3 x^{2}+4, & \text { when } 0 \leq x \leq 2 \\ 9 x-2, & \text { when } 2 \leq x \leq 4\end{cases}$
Show that $\int_{0}^{4} f(x) d x=66$
Solution:
