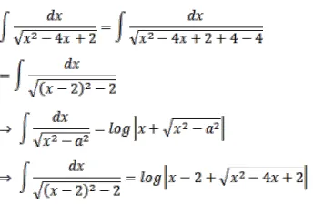
Question:
Mark $(\sqrt{ })$ against the correct answer in each of the following:
$\int \frac{\mathrm{dx}}{\sqrt{2-4 x+x^{2}}}=?$
A. $\log \left|(x-2)+\sqrt{x^{2}-4 x+2}\right|+C$
B. $\log \left|x+\sqrt{x^{2}-4 x+2}\right|+C$
C. $\log \left|x-\sqrt{x^{2}-4 x+2}\right|+C$
D. none of these
Solution:
